Skip to content
itsJamesD.com

I can't make this stuff up.

  • IT’s PEN CLUB
  • JD and Father Greg:The Podcast
  • @rainesartstudio
  • HEY and Thanks for Visiting!

Daily Prompt – 1905

Describe something you learned in high school.

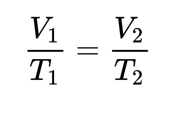
The equation shows that, as absolute temperature increases, the volume of the gas also increases in proportion.

Share this:

  • Share on X (Opens in new window) X
  • Share on Facebook (Opens in new window) Facebook
  • Share on LinkedIn (Opens in new window) LinkedIn
  • Share on Pinterest (Opens in new window) Pinterest
Like Loading…
THE LATEST
◀ Friday Fun
▶ A Quiet Reset
  • Daily Prompt – 1907

    Daily Prompt – 1907

  • Pen and Ink Challenge – Apr13

    Pen and Ink Challenge – Apr13

  • Daily Prompt – 1906

    Daily Prompt – 1906

  • Pen and Ink Challenge – Apr12

    Pen and Ink Challenge – Apr12

  • Daily Prompt – 1905

    Daily Prompt – 1905

  • Pen and Ink Challenge – Apr11

    Pen and Ink Challenge – Apr11

  • Pen and Ink Challenge – Apr10

    Pen and Ink Challenge – Apr10

  • Daily Prompt – 1904

    Daily Prompt – 1904

  • Pen and Ink Challenge – Apr9

    Pen and Ink Challenge – Apr9

  • Daily Prompt – 1903

    Daily Prompt – 1903

  • Pen and Ink Challenge – Apr7

    Pen and Ink Challenge – Apr7

  • Daily Prompt – 1990

    Daily Prompt – 1990

  • Pen and Ink Challenge – Apr6

    Pen and Ink Challenge – Apr6

  • Pen and Ink Challenge – Apr5

    Pen and Ink Challenge – Apr5

  • Daily Prompt – 1898

    Daily Prompt – 1898

  • Pen and Ink Challenge – Apr3

    Pen and Ink Challenge – Apr3

  • Daily Pronpt – 1897

    Daily Pronpt – 1897

  • Daily Prompt – 1896

    Daily Prompt – 1896

1 2 3 … 116
Next Page
 

Loading Comments...
 

    • Comment
    • Reblog
    • Subscribe Subscribed
      • itsJamesD.com
      • Join 157 other subscribers
      • Already have a WordPress.com account? Log in now.
      • itsJamesD.com
      • Subscribe Subscribed
      • Sign up
      • Log in
      • Copy shortlink
      • Report this content
      • View post in Reader
      • Manage subscriptions
      • Collapse this bar
    %d